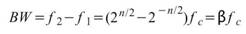
SVM (Sound and Vibration Module) 建立在 Visual Signal 快速、便利、多樣性的平台架構,提供語音、噪音、振動及迴轉機械故障的完整解決方案。SVM 具有適合各領域研究人員所需的分析演算法,並且提供符合工業界規範的檢測方法,方便線上人員即時檢測,最後可由各種圖形表現。除了傳統的傅立葉頻譜,以及時頻分析等演算法之外,還有震動及噪音的特殊分析演算法,例如 RMS 分析可以作為震動品質檢測的依據,Crest Factor 幫助了解撞擊訊號強度變化,OrderSpectrogram 除了振動及噪音訊號之外,還需要輸入轉速計訊號,可以將原本頻率對時間的變化量轉變為階次對轉數的變化量,可以將倍頻現象利用階次表現出來。Envelope 可以將撞擊訊號的包絡線解析出來。如此之外,對於聲音的處理,提供權重函數將原本的頻譜或是時頻圖加權為人耳感官到的頻譜圖,還提供 Octave 分析功能。提供工業界進行各種應用及研究,相關應用如工具機、主軸,馬達、齒輪箱等檢測,或是主軸跑合系統應用。
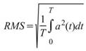
RMS (Root Mean Square) 為工業界中最為普遍用來評估振動的參考值,代表一段時間內振動能量的平均值,在主軸和軸承等迴轉機械製造商皆大量利用 RMS 值作為品管和檢測的重要指標,主軸製造商量測主軸運作中振動加速度(G),最後計算後 RMS 值,也被廣泛稱為 G 值,用來判斷主軸或軸承的組裝精密度及穩定性。
理論(Theory)
其中 T 表示某段時間,工業界上,a(t) 主要表示震動的加速度(G),也可以以震動速度或位移。
參數設定(properties)
本模組接受實數(real number),單、多通道,regular的訊號(signal)輸入。各參數定義詳如下方圖表。
|
參數名稱 |
參數定義 |
預設值 |
|
Method |
數值積分的方法,可選擇 Simple (長方形法)與 Trapezoidal (梯形法)。 |
Trapezoidal |
|
StartPosition |
設定時間軸或橫軸上的積分起始值。 |
輸入訊號的起始值。 |
|
EndPosition |
設定時間軸或橫軸上的積分終點值。 |
輸入訊號的終點值。 |
|
RemoveDC |
設定積分前,是否移除直流訊號。 |
false |
|
Window |
設定計算窗大小,即為計算訊號元素的數量。一般而言,迴轉機械檢測以時間為1秒為一個計算窗。 |
5000 |
|
Overlap |
設定窗與窗之間重疊的訊號元素數量。Overlap<Window。 |
2500 |
Vibration Level 中的 Type 選項定義如下,根據 ISO15242-1(2004)
提供 RMS、Peak 和 PeaktoPeak 計算方法,預設的 Type = RMS。
|
選項名稱 |
選項定義 |
|
RMS |
計算一段時間內振動的能量平均值。 |
|
Peak |
假設振動訊號為正弦波,正弦波的振幅最大值為正弦波的RMS的 |
|
PeaktoPeak |
假設振動訊號為正弦波,正弦波的振幅最大值與最小值的差距為 |
範例(Example)
以下範例為兩根內藏式主軸,a 主軸經過完整跑合,b 主軸並未完全跑合,由 0 rpm 加速至 16000rpm,並將加速規放置於兩主軸上量測振動。
首先將振動訊號經過 Scale 調整單位為 G ,再以 ChannelView 觀察,如下圖。
將調整過後的訊號經由 RMS 處理,Window 設定為取樣頻率,時間為 1s,即可以隨著時間及轉速增加,觀察震動能量的變化,b 主軸振動隨轉速增加而增加,a 主軸振動則是逐漸穩定。
相關指令
Scale。
參考資料
ISO Standard 2372,ISO Standard 10816
Crest Factor 為用來評估振動中所包含衝擊訊號的大小,主軸和軸承等迴轉機械製造商可以利用 Crest Factor 值評估軸承內環、外環、滾珠之間是否有撞擊訊號產生,可以彌補 RMS 只能評估整體振動的不足,發現更微小的敲擊,判斷軸承是否有缺陷的重要指標。
理論(Theory)
在一段時間內,可以利用震動加速度、速度或位移等訊號,並且結合 RMS 及 Peak 求得 Crest Factor。
參數設定(properties)
本模組接受實數(real number),單、多通道,regular 的訊號(signal)輸入。各參數定義詳如下方圖表。
|
參數名稱 |
參數定義 |
預設值 |
|
Method |
數值積分的方法,可選擇 Simple (長方形法)與 Trapezoidal (梯形法)。 |
Trapezoidal |
|
StartPosition |
設定時間軸或橫軸上的積分起始值。 |
輸入訊號的起始值。 |
|
EndPosition |
設定時間軸或橫軸上的積分終點值。 |
輸入訊號的終點值。 |
|
RemoveDC |
設定積分前,是否移除直流訊號。 |
false |
|
Window |
設定計算窗的大小,即為計算訊號元素的數量。一般而言,迴轉機械檢測以時間為1秒為一個計算窗。 |
5000 |
|
Overlap |
設定窗與窗之間重疊的訊號元素數量。Overlap<Window。 |
2500 |
範例(Example)
以下範例為兩根內藏式主軸,a 主軸經過完整跑合,b 主軸並未完全跑合,由 0 rpm加速至 16000 rpm,並將加速規放置於兩主軸上量測振動。
首先將振動訊號經過 Scale 調整單位為 G,再以 Channel View 觀察,如下圖。
將調整過後的訊號經由 Crest Factor 處理,Window 設定為取樣頻率,時間為 1s,即可以隨著時間及轉速增加,觀察衝擊跟 RMS 比值的變化,b 主軸所產生衝擊遠大於 a 主軸,而且由 b 主軸的 Crest Factor 值顯示敲擊訊號高達 RMS 值的 15 倍左右,顯示在 b 主軸軸承中,滾珠與內外環產生許多的激烈撞擊。
相關指令
RMS,Peak。
參考資料
Peak 主要是為評估振動訊號中真實的最大值及最小值,在工業界中,手持量測系統皆有用來評估振動的參考值,迴轉機械製造商量測振動加速度(G),最後經計算後,所求 Peak 值,用來判斷各種機械的撞擊程度。
理論(Theory)
工業界上,a(t) 主要表示震動的加速度(G),也可以為震動速度或位移,Max 為一段時間訊號中的最大正值,Min 為一段時間訊號的最小負值。
參數設定(properties)
本模組接受實數(real number),單、多通道,regular的訊號(signal)輸入。各參數定義詳如下方圖表。
|
參數名稱 |
參數定義 |
預設值 |
|
Window |
設定計算窗的大小,即為計算訊號元素的數量。一般而言,迴轉機械檢測以時間為1秒為一個計算窗。 |
5000 |
|
Overlap |
設定窗與窗之間重疊的訊號元素數量。Overlap 必須小於Window。 |
2500 |
Vibration Level 中的 Type 選項定義如下,提供 Max、Min、TruePeak 和 TruePP 計算方法,預設的 Type = TruePeak。
|
選項名稱 |
選項定義 |
|
Max |
計算一段時間振動中的最大正值。 |
|
Min |
計算一段時間振動中的最大負值。 |
|
TruePeak |
(Max-Min)/2。 |
|
TruePP |
Max-Min。 |
範例(Example)
以下範例為一內藏式主軸,主軸經過完整跑合,由 0 rpm 加速至 16000 rpm,並將加速規放置於主軸上量測振動。
首先將振動訊號經過 Scale 調整單位為 G ,再以 Channel View 觀察,如下圖。
將調整過後的訊號經由 Peak 處理,Window 大小設定為取樣頻率,Properties / VibrationLevel / Type 設定為 TruePeak ,即可以隨著時間及轉速增加,觀察真實的 Peak 變化。
相關指令
參考資料
轉速計為量測轉速的量測工具,但是量測到的原始訊號為脈衝訊號,透過此模組運算,可以將脈衝訊號轉為回轉機械實際轉速。
理論(Theory)
原始轉速計量測的脈衝訊號如下圖:
定義脈衝出現間距的方式有三種:
Rising:抓取超過增加值超過門檻值的索引:
If
then
Falling:
If
then
Center:
If
and
If
then
抓取脈衝之間的間距,計算間距的時間,其值的倒數即為轉速。
其中 SamplingFrequency 為訊號的取樣頻率,S[ t ] 為原始量測訊號,Index[ n ] 為轉換抓取脈衝的出現的索引。
參數設定(properties)
本模組接受實數(real number),單、多通道,regular 的訊號(signal)輸入。各參數定義詳如下方圖表。
|
參數名稱 |
參數定義 |
預設值 |
|
Express Type |
定義轉速 RPM:每分鐘轉動圈數 RPS:每秒鐘轉動圈數 RPH:每小時轉動圈數 |
RPM |
|
PulsePerRevolution |
量測的時候轉動一圈會出現幾個脈衝,一般而言,量測只有貼一個反光片就有一個脈衝。如需更準確量測轉速,可以在等間距貼上反光片,並且輸入轉動一圈的所通過反光片數目。 |
1 |
|
SlopeType |
定義如何抓取通過 Threshold 的方法:Rising、Falling、Center。 |
Center |
|
SmoothType |
將 Tachometer 訊號中不平滑部分,做內插平滑,有兩種方法,線性(Linear)及曲線近似(Spline)。 |
Spline |
|
Threshold |
脈衝門檻值,超過此門檻值才為脈衝。 |
1 |
範例(Example)
以下範例為一個轉速計直接量測的脈衝訊號。
透過 DigitalTacho 可以將脈衝訊號轉換為轉速訊號。
相關指令
參考資料
階次頻譜圖目的在於方便觀察各種機械倍頻,觀察倍頻能量隨著轉速產生的變化,階次頻譜需要有兩種訊號,包括基本的震動或噪音訊號,轉速計 (Tachometer) 的原始脈衝訊號,便可以將原本只有震動或噪音的時頻圖為轉變為階次頻譜圖。
理論(Theory)
基本上階次頻譜分析主要分成兩個步驟,第一步驟將震動或噪音訊號從時間域轉換成角度域,第二步是將角度域的訊號進行短時距傅立葉轉換。
原始震動或噪音訊號是為等時間間距,首先利用轉速計 (Tachometer) 訊號的
脈衝間內插取樣出等角度間距,再將振動或噪音訊號依等角度間距進行內插取樣,最後得到等角度間距的振動或噪音訊號。
再將等角度間距訊號經過短時距傅立葉轉換得到(倍頻)階次-轉動圈數頻譜。
參數設定(properties)
本模組接受實數(real number),單、多通道,regular 的訊號(signal)輸入。各參數定義詳如下方圖表。
|
參數名稱 |
參數定義 |
預設值 |
|
Order |
||
|
MaxOrder |
可以用來計算的最大階次。 |
50 |
|
Tacho Pulse Information |
||
|
SlopeType |
定義如何抓取通過 Threshold 的方法,Rising、Falling。 |
Rising |
|
Threshold |
脈衝門檻值,超過此門檻值才為脈衝。 |
1 |
|
STFT |
||
|
CalOrderMin CalOrderMax |
透過設定此參數,可決定計算及繪圖階次的上下邊界。 |
0;MaxOrder |
|
OrderResolution |
設定窗函數的範圍,此值會影響到窗函數的大小,設定的越小,窗函數會越小。 |
(CalOrderMax)/40 |
|
OrderCount |
設定階次方向之離散網格數。 |
512 |
|
XAxisCount |
設定轉動圈數方向之離散網格數。 |
1024 |
|
RemoveDC |
決定在進行 STFT 分析前,要不要先移除直流訊號。 |
True |
|
Window |
在STFT 分析,進行窗函數的分割時,會利用窗函數進行濾波,此處可選擇各種窗函數。 |
Gaussian |
範例(Example)
由真實量測到迴轉機件的振動及轉速變化,即為檔案 VT.mat,開啟 C:\Program Files\AnCAD\Visual Signal\demo\SVM\Order_Tracking_by_STFT.vsn,首先觀察轉速計及加速規的原始訊號,如下圖,其中藍色訊號代表轉速計訊號,由脈p的間距可知迴轉機械的轉速越來越高,黑色代表振動訊號。
再利用 Channel Switch 從原始訊號選擇轉速計訊號,再利用 DigitalTacho 計算出真正的轉速,單位為 RPM,計算流程如下圖。
首先利用Compute/TFA/STFT計算振動訊號,再利用TF Viewer觀察出頻率隨著時間不斷地增加,但是無法分出各個斜直線屬於當時轉數的第幾個倍頻,如下圖。
最後將振動訊號以及轉速計訊號輸入至 OrderSpectrogram by STFT,可以得到 Order-Revolution 圖,如下圖。可以清楚看到轉數倍頻的變化,在頻譜圖上發現二倍頻、四倍、六倍頻等的振幅特別明顯,由此可以粗略判斷迴轉機械可能有軸不對心的情形。
相關指令
OrderSpectrogram by EnMorlet,DigitalTacho,OrderInfo。
參考資料
階次頻譜圖目的在於方便觀察各種機械倍頻,觀察倍頻能量隨著轉速產生的變化,階次頻譜需要有兩種訊號,包括基本的震動或噪音訊號,轉速計(Tachometer)的原始脈衝訊號,便可以將原本只有震動或噪音的時頻圖為轉變為階次頻譜圖。
理論(Theory)
基本上階次頻譜分析主要分成兩個步驟,第一步驟將震動或噪音訊號從時間域轉換成角度域,第二步是將角度域的訊號進行強化式小波轉換。
原始震動或噪音訊號是為等時間間距,首先利用轉速計(Tachometer)訊號的
脈衝間內插取樣出等角度間距,再將振動或噪音訊號依等角度間距進行內插取樣,最後得到等角度間距的振動或噪音訊號。
再將等角度間距訊號經過強化式小波轉換得到(倍頻)階次-轉動圈數頻譜。
參數設定(properties)
本模組接受實數(real number),單、多通道,regular 的訊號(signal)輸入。各參數定義詳如下方圖表。
|
參數名稱 |
參數定義 |
預設值 |
|
Order |
||
|
MaxOrder |
可以用來計算的最大階次。 |
50 |
|
Tacho Pulse Information |
||
|
SlopeType |
定義如何抓取通過Threshold的方法,Rising、Falling。 |
Rising |
|
Threshold |
脈衝門檻值,超過此門檻值才為脈衝。 |
1 |
|
Morlet |
||
|
CalOrderMin CalOrderMax |
透過設定此參數,可決定計算及繪圖階次的上下邊界。 |
0;MaxOrder |
|
OverlappedFactor |
設定窗函數的範圍,此值會影響到窗函數的大小,設定的越小,窗函數會越小。 |
(CalOrderMax)/40 |
|
OrderCount |
設定階次方向之離散網格數。 |
512 |
|
XAxisCount |
設定轉動圈數方向之離散網格數。 |
1024 |
|
RemoveDC |
決定在進行小波分析前,要不要先移除直流訊號。 |
True |
範例(Example)
由真實量測到迴轉機件的振動及轉速變化,即為檔案 VT.mat,開啟 C:\Program Files\AnCAD\Visual Signal\demo\SVM\Order_Tracking_by_EnMorlet.vsn ,首先觀察轉速計及加速規的原始訊號,如下圖,其中藍色訊號代表轉速計訊號,由脈衝的間距可知迴轉機械的轉速越來越高,黑色代表振動訊號。
再利用 Channel Switch 從原始訊號選擇轉速計訊號,再用 DigitalTacho 計算出真正的轉速,單位為 RPM,計算流程如下圖。
首先利用Compute/TFA/Enhanced MorletTransdorm計算振動訊號,再利用TF Viewer觀察出頻率隨著時間不斷地增加,但是無法分出各個斜直線屬於當時轉數的第幾個倍頻,如下圖。
最後將振動訊號以及轉速計訊號輸入至OrderSpectrogram by EnMorlet,可以得到 Order-Revolution圖,如下圖。可以清楚看到轉數倍頻的變化,在頻譜圖上發現二倍頻、四倍、六倍頻等的振幅特別明顯,由此可以粗略判斷迴轉機械可能有軸不對心的情形。
相關指令
OrderSpectrogram by STFT,DigitalTacho,OrderInfo。
參考資料
OrderInfo 元件主要搭配 OrderSpectrogram by STFT 或者 OrderSpectrogram by EnMorlet,可以幫助使用者知道轉動圈數與時間或轉數的相關資訊。
參數設定(properties)
本模組接受實數(real number),單通道,regular的訊號(signal)輸入。各參數定義詳如下方圖表。
|
參數名稱 |
參數定義 |
預設值 |
|
Tacho Pulse Information |
||
|
SlopeType |
定義如何抓取通過 Threshold 的方法。 |
Rising |
|
Threshold |
脈衝門檻值,超過此門檻值才為脈衝。 |
1 |
|
YAxisDisplay |
||
|
Type |
Y軸可以展示時間Time,轉速RPM、RPH、RPS。 |
Time |
範例(Example)
將訊號 VT 接至OrderSpectrogram by STFT,再利用 TF Viewer 觀看其結果,但是 X 軸是圈數 (Revolution),無法得知真正轉速或時間。
利用 Channel Switch 選擇出轉速計訊號,並將接至 OrderInfo,調整 Property / YAxisDisplay / Type 為 RPM,最後利用 Channel Viewer 觀看其結果,可以對照階次圖了解圈數當時的轉速。
相關指令
OrderSpectrogram by STFT,OrderSpectrogram by EnMorlet,DigitalTacho。
參考資料
Ceps + trum 即為 Spec + trum 的反寫,工業界上主要用來檢測齒輪箱損壞和觀察倍頻的關係,在機車、汽車齒輪箱和迴轉機械製造商皆可利用 Cepstrum 作為品管和檢測齒輪斷齒等損傷的重要工具。或著利用於語音辨識的領域。
理論(Theory)
其中 X 表示振動的訊號,如加速度、速度和位移,經過複立葉轉換後,取 Magnitude,再經由 Natrual Logarithm,最後經反複立葉轉換。
參數設定(properties)
本模組接受實數(real number),單、多通道,regular 的訊號(signal)、聲音訊號(audio)輸入。各參數定義詳如下方圖表。
|
參數名稱 |
參數定義 |
預設值 |
|
FFTRemoveDC |
消除訊號於縱軸之平移量,使其訊號之平均為零。 |
True |
|
FFTWindow |
以窗函數降低洩漏效應對轉換的影響,採用之函數包括Barlett、Blackman、Flat Top、Hanning、Hamming、Gauss 等六種類型、各函數之定義詳見FFT窗函數說明。 。 |
None |
|
IFFTRemoveDC |
消除訊號於縱軸之平移量,使其訊號之平均為零。 |
False |
|
IFFTWindow |
以窗函數降低洩漏效應對轉換的影響,採用之函數包括Barlett、Blackman、Flat Top、Hanning、Hamming、Gauss 等六種類型,各函數之定義詳見FFT窗函數說明。 |
None |
範例(Example)
以下範例為 Cepstrum 分析固定轉速的迴轉機械的振動訊號,判斷有何種倍頻存在,請參考範例 C:\Program Files\AnCAD\Visual Signal\demo\SVM\Cepstrum.vsn。
首先將原始訊號經過 Channel Switch,選擇 Tachometer 訊號再以 DigitalTacho 計算實際轉速,最後以 Channel Viewer 觀察轉速大約在 5000RPM 左右,如下圖。
先用 Channel Switch 將選擇出振動訊號,再經由 Fourier Transform 處理,利用 Channel Viewer 觀察,可以發現似乎有許多倍頻。
最後將振動訊號接至 Cepstrum,利用 Channel Viewer 觀察,其中 Viewer 的 Propeeties / Representation / YValueType 選擇為 RealPart,結果如下圖,在下圖中 0.0012 sec 及 0.0024 sec 各有一個峰值,表示有 833Hz 的倍頻,倍頻現象是由轉速所造成。
相關指令
FFT。
參考資料
包絡訊號 (Envelope Detection) 為檢測機械故障相當有效的方式,因為機械故障雜音大部分以撞擊形式產生,使用者所關注的是每秒撞擊的次數,透過傅立葉頻譜分析並無法。包絡頻譜分析是取得訊號的包絡線,即是將訊號的峰值連接起來,再針對該訊號進行傅立葉轉換,進一步了解碰撞的頻率,推估出何種機械元件產生了碰撞。
理論(Theory)
有兩種方式取得包絡訊號:
Hilbert Transform
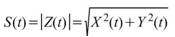
第一種方法是利用 Hilbert 轉換產生一個解析訊號 (Analytic Signal),解析訊號為一個複數訊號,實數部分為原始訊號,而虛部為原始訊號的 Hilbert 轉換結果。
若 X(t) 代表原始訊號,則它的 Hilbert 轉換 Y(t) 定義為:
並定義一解析函數 Z(t):
則定義實數包絡訊號為
Spline Curve
利用 Spline Curve 將峰值連接起來而成為包絡訊號。
參數設定(properties)
本模組接受實數ireal number),單、多通道,regular 的訊號(signal)輸入。各參數定義詳如下方圖表。
|
參數名稱 |
參數定義 |
預設值 |
|
Envelope Type |
決定利用何種包絡線計算方式,包含 Hilbert Transform 以及 Spline Curve 兩種計算方法。 |
Hilbert |
|
Spline Envelope |
上包絡線(Upper)、下包絡線(Lower)或上下包絡線平均(Middle)。 |
Upper |
範例(Example)
以下範例為一個敲擊訊號 ( Beating Signal ),利用 Visual Signal 分析其頻譜圖以及時頻圖。
可以發現此撞擊訊號在頻譜以及時頻圖展現資訊並不是使用者所關注的,透過轉換為包絡訊號並且進行頻譜分析可以得到下圖。
由此可以發現撞擊次數被解析出來為每秒一次。
相關指令
參考資料
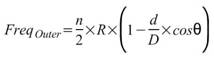
軸承損壞特徵檢測 (Bearing Defect) 為計算軸承損壞頻率工具,輸入軸承規格,則可以計算內外環或滾珠損壞的特徵頻率。
理論(Theory)
外環損傷特徵頻率:
內環損傷特徵頻率:
滾珠損傷特徵頻率:
其中,n為滾珠數量,R為軸承轉速,d為滾珠直徑,D為軸承外環直徑
參數設定(Properties)
本模組接受實數(complex number),單通道(single channel),regular 的訊號(signal)輸入。各參數定義詳如下方圖表。
|
參數名稱 |
參數定義 |
預設值 |
|
Bearing Diameter |
軸承直徑 |
0 |
|
Contact Angel |
接觸角 |
0 |
|
Roller Diameter |
滾珠直徑 |
0 |
|
Roller Number |
滾珠數量 |
0 |
|
RotationSpeed |
軸承滾動速度 |
0 |
範例(Example)
取得震動訊號之後,透過傅立葉轉換進行頻譜分析,可以利用 Bearing Defect 比對頻譜,檢視特徵頻率是否靠近損壞頻率。
黑色的為原始訊號之頻譜的藍色為外環損傷頻譜,紅色為內環損傷頻譜,綠色為滾珠損傷頻譜,比對原始頻譜以及此三個頻譜,若是原始訊號的特徵頻率有靠近損壞頻譜誤差於 5% 之內,則可以辨識出損傷部位。
相關指令
參考資料
八音度(Octave)或稱倍頻程,這一名詞是從音樂中借用而來。例如鋼琴的中音C,到下一個音階(高八度)的 C,其頻率比正好是兩倍,稱為一個八音度。將一個八音度分為三份,每一份稱為 1/3八音度 或 1/3 倍頻程。將一個八音度分為12 份,每一份稱為 1/12 八音度或 1/12 倍頻程。
理論(Theory)
八音度分析中每個頻帶的上限頻率和下限頻率之比為常數,其關係滿足:
其中 n 為八音度數,例如:n = 1,為八音度; n = 1/3,為 1/3八音度;n = 1/12,為
1/12八音度。頻帶的中心頻率
為上、下限頻率的幾何平均值,即
頻帶寬度 BW 為
由此可知:對八度音,n = 1,
對 1/3八度音,n =
1/3,
對 1/12八度音,n = 1/12,
參數設定(properties)
本模組接受複數(Complex number),單、多通道,regular 的訊號(signal)輸入。各參數定義詳如下方圖表。
|
參數名稱 |
參數定義 |
預設值 |
|
Octave Type |
決定切斷頻率寬度 ThirdOctave:1/3 八度音 Octave:八度音 N_Octave:1/N 八度音 (n = 1/1,1/3,1/6,1/12,1/24) |
ThirdOctave |
範例(Example)
以下範例為一個含倍 的鳥叫訊號(Chirp Signal),利用 Fourier Transform 分析其頻譜圖。
再將FFT結果接至Octave,利用Channel Viewer 觀察結果。
最後改變 Viewer 的顯示模式,設定如下圖。
即可得到 Octave 的圖形
相關指令
參考資料
人耳對於各種頻率的感受度並不相同,因此透過傅立葉轉換或是時頻分析出來的結果並非實際人耳聽到的頻譜,必須透過加權函數 (Wieghting Filter) 才能轉換為實際聽到的頻譜。
理論(Theory)
Weighting 區分為三種:A、B 或 C,這三種都是頻率響應的標準,不同的曲線是設計去給與在讀取聲壓位準 (Sound Pressure Level) 時,能很好的對應人類對聲頻的反應,有最少的差異,我們可從 Fletcher-Munson 的等響曲線 (Equal Loudness Level Contours),去瞭解我們人類耳朵是怎麼的聽聞聲頻的,以頻率 1 KHz 為中心點,在較低的聲頻部份是低感度的,為了要顯示我們人類耳朵聽聞聲頻的特性,因此加權函數的用意是去減少音壓錶的靈敏感度,這是當音壓低於某一程度,就人類的耳朵感觀,它會對低頻方面較不靈敏。
A加權曲線是基於 40 Phon 的 Fletcher-Munson Equal Loudnes人 Contour,當量測較低位準的聲音時,建議使用它較佳。
B加權曲線是基於 70 Phon 的 Fletcher-Munson 等響曲線,當量測中段位準的聲音時建議使用它較適合,在量測時使用A及B加權,又稱為加權聲音電平位準 (Weighted Sound Level)。
C加權在本質上是近似平坦,它是利用在高響度位準的聲音時。
聲壓位準在 20~55 dB SPL 範圍內,建議使用 A 加權曲線網路,聲壓位準在 55~85 dB SPL 範圍內,建議使用 B 加權曲線網路,聲壓位準在 85~140 dB SPL 範圍內,建議使用 C 加權曲線網路:
A Weighting
A Weighting 權重與頻率關係圖
B Weighting

C Weighting
參數設定(properties)
本模組接受複數(complex number),單、多通道,regular 的訊號(signal),複數(complex number),單通道(single channel),regular的時頻(spectra)輸入。
|
參數名稱 |
參數定義 |
預設值 |
|
Weightin) Type |
決定為何種權重濾波: By Pass:不執行任何濾波動作 A Weighting:聲壓準位在 20~55 dB SPL 範圍內建議使用。 B Weighting:聲壓準位在 55~85 dB SPL 範圍內建議使用。 C Weighting:聲壓準位在 85~140 dB SPL 範圍內建議使用。 Slope:權重為頻率乘上輸入值 (Slope Value) 。 |
By Pass |
|
Slope Value |
權重相對於頻率的斜率。 |
1 |
範例(Example)
以下範例為一個鳥叫訊號 (Chirp Signal),利用 Visual Signal 分析其頻譜圖以及時頻圖。
加乘上 A Weighting之後
相關指令
參考資料
Scale主要是利用儀器的 Sensitivity 將各種量測的電壓訊號轉換成具有工程單位 (EU) 的訊號,如加速度、速度、位移、聲壓、溫度、應變等。
理論(Theory)
其中 x 表示電壓訊號,單位為 volts,S 表示 Sensitivity,單位通常為 mVolts / (EU),轉換式如下。
參數設定(properties)
本模組接受實數(real number),單、多通道,regular的訊號(signal)輸入。各參數定義詳如下方圖表。
|
參數名稱 |
參數定義 |
預設值 |
|
Engineering Units |
用來表示轉換成的工程單位,如 g、m/s^2、Pa、N等。 |
g |
|
Sensitivity |
由感測器或儀器的 Specification 得知 Sensitivity,一般而言,其單位為 mV/EU,如加速規為 mVolts/g、麥克風為 mVolts/Pa等。 |
1000 |
範例(Example)
以下範例利用一個實際量測主軸振動,而所得加速規的訊號。
首先將電壓訊號經過 Scale 轉換,Properties/ Engineering Units 設定為 g,Properties / Sensitivity 根據加速規 Specification 設定 100.6 (mVolts/g),再以 Channel View 觀察,如下圖。
相關指令
參考資料
將時頻圖或階次圈數圖(Spectra)進行轉置,將資料的 X 軸和 Y 軸對調。
參數設定(properties)
本模組接受實數(real number)、複數(complex number),單通道(single channel),regular的時頻(spectra)資料輸入
範例(Example)
以下範例為 OrderSpectrogram by STFT 的計算結果再經過轉置的結果,流程如如下圖。
將 OrderSpectrogram by STFT 結果接至 Transpose Spectra 轉換之後,最後利用 TF Viewer 觀看其結果。
相關指令
OrderSpectrogram by STFT、OrderSpectrogram by EnMorlet、STFT。
| Converted from CHM to HTML with chm2web Standard 2.85 (unicode) |