3.9 Matrix

3.9.1 Matrix Operatoin

本模組用以處理 A、B 兩矩陣間的計算問題:

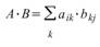
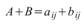
  1. 矩陣加法:,其中矩陣 A 與 B 的大小必須一致,皆為 M * N。

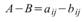
  2. 矩陣減法:,矩陣 A 與 B 的大小必須一致,皆為 M * N。

  3. 矩陣乘法:,A 的大小為 M * N,B 的大小為 N * P。

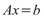
  4. 矩陣左除法:,A 的大小為 M * N,B 的大小為 M * P。

  5. 矩陣右除法:,A 的大小為 M * N,B 的大小為P * N。

參數設定(Properties)

本模組接受實數(real number)、複數(complex number)、Numeric的數值資料,而輸出亦為同型態的資料。

參數名稱

參數定義

預設值

Input A

A 矩陣的名字

僅輸出供使用者參考

Input B

B 矩陣的名字

僅輸出供使用者參考

alpha

A 的加權數,詳見下。

1

Beta

B 的加權數,詳見下。

a

Operation

運算元,可為加,減,乘,左除與右除。

addition

Auto-name

若為 true,在 A+B 的情況下,模組的名為 A+B (隨運算元而不同改變);反之則為 Mop。

true

By Element

設為"True"時,運算模式為每個元素做運算,而非矩陣運算。

False

Operation statement

運算表示式

僅輸出供使用者參考

以加法為例:輸出的矩陣為 C,分別為 A、B 兩矩陣的權數。

範例(Example)

  1. 以DoMatlab 模組產生一亂數 3 * 3的方陣:

    矩陣內容如下:

以 Inverse Matrix 求解反矩陣,得到結果如下:

可把這結果與原本的矩陣相乘,確定相乘後的結果為單位矩陣。

相關指令

Matrix Operation

參考

Gilbert Strang: Linear Algebra and Its Applications 3rd edition

3.9.2 Inverse Matrix

計算矩陣 A ( A 必須為方陣 ) 的反矩陣,使,I 為單位矩陣。

參數設定(Properties)

本模組接受實數(real number)、複數(complex number)、Numeric的數值資料,而輸出亦為同型態的資料。

範例(Example)

  1. 以 DoMatlab 模組製造一亂數 3 *3 的方陣:

矩陣內容如下:

以 Inverse Matrix 求解反矩陣,得到結果如下:

可把這結果與原本的矩陣相乘,確定相乘後的結果為單位矩陣。

若輸入的矩陣為 Singular,好比,用此模組做計算,會發出 Warning :

說明此矩陣為 Singular

相關指令

Matrix Operation

參考

Gilbert Strang: Linear Algebraand Its Applications 3rd edition

3.9.3 Trasnpose

將矩陣 A 做轉置,並可選擇是否做共軛。

參數設定(Properties)

本模組接受實數(real number)、複數(complex number)、Numeric的數值資料,而輸出亦為同型態的資料。

參數名稱

參數定義

預設值

Complex Cojugate

若矩陣為複數矩陣,是否要取共軛。

true

範例(Example)

2 X 3 的 A 矩陣,矩陣內容如下:

取轉置,但不取共軛,則輸出的矩陣為

若同時取共軛,輸出的矩陣為

參考

Gilbert Strang: Linear Algebra and Its Applications 3rd edition

3.9.4 Extract Region of Interest

由矩陣 A 中截取矩陣 S。由 Start Indexes 為 [ sx , sy]開始截取一段長度為 lx ( Row )、ly ( Column ) 的矩陣。其 End Indexes 為 [ sx + lx - 1, sy + ly - 1],若 End Index 超過 A 的範圍則填零。

說明

非常類似矩陣定義中的 Sub-Matrix 定義,但此模組可用以處理更高維度的資料,此外超過原矩陣範圍者,本模組會填補上零。

參數設定(Properties)

本模組接受實數(real number)、複數(complex number)、Numeric的數值資料,而輸出亦為同型態的資料。

參數名稱

參數定義

預設值

Start Indexes

截取的起點座標。

( 0 , 0 )

ROI Dimensions

截取的 Row 長度及 Column 長度。

原矩陣的 Row 長度及 Column 長度

範例(Example)

  1. 以 DoMatlab 模組製造一亂數 3 * 3 的方陣

矩陣內容如下

若截取的起點座標為 ( 0 , 0 ),ROI Dimensions 為 ( 3 , 1 ),截取到矩陣為

若起點為 ( 2 , 2 ) ,ROI Dimensions 為 ( 3 , 3 ) ( 超過範圍 ),截取到矩陣為:

,超過範圍部份補零。

參考

Gilbert Strang: Linear Algebra and Its Applications 3rd edition

3.9.5 Extract Vector

將向量由矩陣 ( 或陣列,不見得必須為二維 ) 中提取出來。若提取的範圍超過原陣列大小,超出部份填補零。

參數設定(Properties)

本模組接受實數(real number)、複數(complex number)、Numeric的數值資料,而輸出亦為同型態的資料。

參數名稱

參數定義

預設值

Vector Direction

截取矩陣的方向,從零開始。好比有個四維陣列,若輸入的方向為 2,即是延著第三個維度的方向(通常稱為深度)截取。

0 (行方向)

Column-Vector

設定為 "True",輸出矩陣以一行 (Column) 為主依序排列,反之則相反。

True

Start Indexes

截取的起點座標

( 0 , 0 )

Vector Length

截取的長度

原陣列在某各方向上的長度

範例(Example)

2 * 3 的 A 矩陣:

矩陣內容如下

設定 Column Vector 設為 True:截取方向為 0 (行方向),起點為 ( 0 , 0 ),長度為 3 (超過範圍)的向量。

所得到的結果為

參考

GilbertStrang: Linear Algebra and ItsApplications 3rd edition

3.9.6 Diagonal Vector

本模組用以截取矩陣(必須為方陣)的對角元素,並排列為一向量。

參數設定(Properties)

本模組接受實數(real number)、複數(complex number)、Numeric的數值資料,而輸出亦為同型態的資料。

參數名稱

參數定義

預設值

Column-Vector

設定為 "True",輸出矩陣以一行 (Column) 為主依序排列,反之則相反。

True

範例(Example)

  1. 以DoMatlab 模組製造亂數 3 * 3 的方陣:

矩陣內容如下

截取得到的 Diagonal Vector 為

相關指令

Matrix Operation

參考

Gilbert Strang: Linear Algebra and Its Applications 3rd edition

3.9.7 Reciprocal Matrix Condition Number

計算 1 / C。其中 C 為矩陣的 Condition Number。

說明

給定一個矩陣 A,A 的 Condition Number 定義為。C 可用量測,分別稱。其分別對應於以不同方式量測到之 A 的 Norm。的計算採用如下定義(與線性代數教科書略有不同):

,其中 i、j 為列與行的 Index。

Condition Number 的意義:

(1)用來量度 A 的 Stiffness : 也就是特徵值 ( eigen-value ) 的大小分佈狀況

(2) 線性方程組解對於機器誤差(round-off error)的敏感度。也就是說當 b 稍微改變時,x 變化的程度。

註:A 必需為一方陣。若 A 不為方陣時可用 SVD 法求得,但目前版本並不支援這項計算。

參數設定(Properties)

本模組接受實數(real number)、複數(complex number)、Numeric的數值資料,而輸出在 Properties 的 Reporter。

範例(Example)

  1. 以DoMatlab 模組製造亂數 A 的方陣:

矩陣內容如下:

若其 Condition Number 很接近零,則矩陣是 Singular,反矩陣不存在。

以本模組檢測之

發現 Norm 的值並不是非常接近零,所以其反矩陣是存在的。( 可以 Inverse 模組計算之 )

相關指令

Matrix Inverse, Matrix Operation

參考

Gilbert Strang: Linear Algebra and Its Applications 3rd edition