4.5 Merge to Complex

將兩個實數訊號合併成一個複數訊號,其中第一筆輸入訊號作實部,第二組輸入訊號作虛部。

說明

代表多通道訊號(channel),其中 c_x 代表通道,j_x 是訊號之時間點;代表另外一組訊號 ,可允許這兩組訊號的通道數與資料長度不一致,則 Merge to Complex 的輸出結果為:

其中分別代表輸出訊號參考的訊號長度與訊號通道數。若參考訊號為,則,且其取樣頻率等於

參數設定(properties)

Merge to Complex 接受實數,單通道(Single Channel)或多通道(Multi-Channel),等間距或非等間距的訊號、聲音訊號或數值資料。

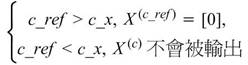
參數 Reference Input 是指定模組訊號的通道數與訊號時間軸的參考,預設為0,代表輸出時間軸參考第一組輸入訊號,則第二組輸入訊號的時間資訊如Sample Frequency、Time Shift 等會直接套用第一組訊號的設定。

因此為避免造成操作上的混淆,強烈建議以相同通道數,時間軸相同的兩組訊號作 Merge to Complex。參數定義與預設值如下表:

參數名稱

參數定義

預設值

ReferenceInput

參考訊號,以實部或虛部當作時間軸與通道數的基準。

0 : 第一組輸入訊號

範例(Example)

本範例將示範兩種操作模式,首先以兩筆單通道實數訊號合成為一筆單通道複術訊號,並示範複數訊號該如何繪圖;接下來示範以兩筆取樣頻率一樣,但時間長度不等的實數,多通道訊號輸入 Merge to Complex 合成一筆複數,多通道訊號。

單通道訊號

  1. 以 Source/ Sine Wave 產生兩個正弦波訊號,然後點選Sine2,修改 Properties / Phase 為 90,使 Sine2 變為餘弦波訊號。然後以 Comversion / Merge to Complex 合成一個複數訊號。

    在 ToComplex 的輸出訊號格式可在 Properties 的 Module 類別下,欄位 OutputDataType 查詢,此輸出訊號已變更為 Complex。

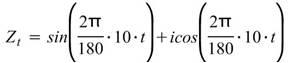
  2. 若要繪製訊號在複數平面上的圖形,可利用 XYPLot。在 ToMulti 後方接上 Viewer / XY Plot Viewer,此 Viewer 會將輸入訊號實部資料當作 X 值,虛部資料當作 Y 值,依時間順序繪圖。本例所產生的複數是

    因此在複數平面上會畫出圓形。

上圖是將 XY Plot Viewer的 Properties / ViewerHeight 與 ViewerWidth 調為一樣,使 XY 軸的比例一致,關於 XY Plot Viewer 的操作在 XY Plot Viewer 章節會有更詳盡的說明。

  1. 若運用 Channel Viewer,可以調整 Properties / YValueType 欄位,繪出複數訊號不同計算量的時序圖,如下圖是繪製此複數訊號的 Magnioude。此部份在 ChannelViewer 的章節會有更詳盡的說明。

多通道訊號

  1. 於 Network視窗下選擇 Source / Noise 創造一個白色雜訊和 Source / Sine Wave,Properties 為預設,最後以 Compute / Coversion / Merge to Multi-channel 將上述訊號合成兩個通道的訊號,再利用 Source / Square 創造方波和 Source / Triangle Wave 三角波,設定 Properties / TimeLength 設定為 2 秒,最後以 Compute / Coversion / Merge to Multi-channel 將上述訊號合成二維資料 ReferenceInput 皆以預設值 0,用 Viewer / Channel Viewer 顯示於視窗。

ToMulti 的訊號圖( sine wave 與 white noise )。

ToMulti2 之訊號圖( squaue wave and triangle wave )。

點選 ToMulti,打開Properties下的Module,裡面OutputType欄位內容顯示訊號為Real。

  1. 再將 ToMulti、ToMulti2兩個多通道訊號經由 Merge to Complex 轉換為複數訊號 ,於Merge to Complex 上調整 ReferenceInput 調整至 0 : ToMulti2,則依據實部的 SamplingFreq 和 DataLength去調整虛部的訊號,再經由 Conversion / Map to Real取出虛部,用 Viewer /Channel Viewer 顯示結果。

再回到 ToComplex 元件,打開 Properties 下的 Module,裡面 OutputType 欄位內容訊號已變更為 Complex。

相關指令

Noise,Sine,Triangle,Square,Map to Real,Merge to Multi-channel。