建立方波。
說明
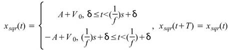
,其中
是振幅,
是頻率,
是方波震幅為正的部份在訊號週期所佔之比例量(symmetry),
是初始相角,
是振幅之平移量。
參數設定(Properties)
|
參數名稱 |
參數定義 |
預設值 |
|
TimeUnit |
時間單位,可為皮秒(ps)、奈秒(ns)、微秒(us)、毫秒(ms)、秒(sec)、分(minute)、時(hour)、日(day)、月(month)、年(year)。 |
秒 |
|
TimeLength |
時間長度,以時間單位為單位。 |
1 |
|
SamplingFreq |
取樣頻率,單位時間內共取幾個點。 |
1000 |
|
DataLength |
產生信號的資料長度,即總共的取樣點數。為取樣頻率 |
10001 |
|
SignalFreq |
此訊號之實際頻率,單位為時間長度之倒數。 |
10 |
|
Amplitude |
訊號之振幅。 |
1 |
|
AmplitudeOffSet |
振幅之平移量。 |
0 |
|
Symmetry |
修改波形的對稱性,訊號的一個週期內,訊號值大於零的部份之比例量為 |
0.5 |
|
TimeStart |
時間起點。 |
0 |
範例(Example)
方波之建立:
以 Source / Square Wave 建立正弦波。
在 Square 的 Properties / Source 裡,可知此例的取樣頻率 ( SamplingFreq ) 設定為預設值 (1000 ),訊號頻率 ( SignalFreq ) 設為 10。
可設定其 SignalFreq 設為 5,Amplitude 為 3,AmplitudeOffSet 為 2,Symmetry 為 0.4(即為s),再設定 TimeStart 為 2.5,可得下列圖形:
相關指令
Channel Viewer。