3.7 HHT ( Hilbert-Huang Transform)

Hilbert-HuangTransform ( HHT ) 是一種根據經驗而來的訊號處理方式,利用這個方式可由非穩態 ( Unsteady ) 及非線性 ( Non-linear ) 的訊號中提取有物理意義的資訊。一般傳統的訊號處理方式多半建立於線性和穩態的假設上,一直到近年才發展出一些數學方法處理非穩態或非線性的訊號,但現實生活中很多情況是需要處理同時具有非穩態和非線性的訊號,這正是做訊號處理時令人頭痛的難題,然而由黃鍔博士所發展的一套數學方法─ Hilbert-Huang Transform ( HHT ) 即針對上述情況提供一種解決方案。HHT 計算包含兩個部份:EMD ( Empirical Mode Decomposition ) 和 Hilbert Spectrum,結合 EMD 與 Hilbert Transform 讓此方法具有處理非穩態且非線性訊號的潛力,特別是需要同時知道時間、頻率、能量的變化關係時。在多數研究中,HHT 可得到更豐富的時間、頻率、能量的關係,且在很多情形下,我們可藉由 HHT 提取出更有物理意義的資訊,從而解釋物理現像,並解決工程問題。

  1. RCADA EEMD:中央大學數據中心所提供的一種 EEMD 演算法。

  2. IMFProperty:列出各 IMF 的過零點個數、極值個數、過零點個數的平均頻率、各 IMF 間的正交性、各 IMF 具有的功率比例。

  3. AnCAD EMD (*Only in Professional): 逸奇科技所提供的各種不同的 EMD 拆解演算法,提供使用者更多選擇。

3.7.1 RCADA EEMD

RCADA EEMD 為中央大學數據中心的最新 ( 2009 ) EEMD 演算法,此模組的預設條件與數據中心提供 MATLAB 原始碼的 EEMD 函式相同,但本模組更提供多種邊界條件、亂數產生方式等參數選擇,以供使用者選擇,並且運算速度較原本數據中心提供 MATLAB 原始碼增加 200 倍以上。

說明

詳請參考http://rcada.ncu.edu.tw/research1.htm

參數設定(Properties)

本模組接受實數(real number)訊號。RCADA EEMD 僅接受單通道(single channel), regular 的訊號(signal)或聲音訊號(audio)輸入。

參數名稱

參數定義

預設值

SplineType

提供三種邊界條件 ( Boundary Conditions ),包括 Clamped Spline、Nature Cubic Spline、Not A Knot。下面表格將說明。

NotAKnot

Number of Ensembles

運行 EEMD 時,添加 Noise 的次數,並且會計算出多少組的 IMF 結果再進行平均。例如預設為 20,將原訊號加入 20 次的 Noise ,並個別計算出20組 IMF 結果,並平均之。

20

Noise Level

即在運行 EEMD 時,添加的 Noise 之振盪,相對於原本訊號標準差之比值。

0.1

Max. Sifting Iterations

進行 EEMD 求解時,疊代次數的上限。

10

Number of IMFs

拆解出來的 IMF 通道總數。

-1

Modify Envelope Endpoints

設定包絡線端點是否要進行外插計算。

True

Use Guassian Noise

設定是否使用 Guassian Noise,否則將使用 White Noise。

Fasle

邊界條件

定義

NotAKnot

邊界 ( 最鄰近) 上的點,其三次導數相等。此預設邊界條件等同於中央大學數據中心的 MATLAB 原始碼的 EEMD,但由於 Visual Signal 與 MATLAB的亂數產生不相同,拆解結果會稍有不同。

NatureCubicSpline

邊界上的點,其二次導數為零。

ClampedSpline

邊界上的點,其一次導數為定值 ( =0 )。

範例(Example)

  1. 本範例是採用中央大學網站上提供的範例資料 ( gsta.dat )。為一年一筆之地球表面平均溫度之資料,可以參考 C: \ Program Files \ AnCAD \ Visual Signal \ demo \ HHT 中的 demo68。

  1. 再將原訊號連接 Compute / HHT / RCADA EEMD 做拆解,參數設定為預設,其結果如下,注意到 Residual (即最後一條訊號,淡藍色線條),代表溫度的趨勢:

  1. 再對相同的訊號,比較 RCADA 提供 MATLAB 原始碼在 MATLAB 程式 與 Visual Signal的速度, ,訊號長度為 20000,RCADA EEMD 拆解後結果如下:

在 Intel Dual Core E6300 (2.8GHz) 的電腦上,Visual Singal 的所花費計算時間為 1.65 秒,MATLAB為376.60 秒, 速度相差超過 200 倍。

  1. 先參考 C: \ Program Files \ AnCAD \ Visual Signal \ demo \ HHT 中的 demo68_1,裡面資料 ( Wave ) 為錄製一段 Hello 的聲音,如下兩張圖。

  1. 在 RCADA : EEMD 的參數中,Number of Ensembles 為 200,Noise Level 為 0.25,並觀察第三個通道的訊號,結果如下圖。。

  1. 在 RCADA : EEMD2 的參數中,Number of Ensembles 為 1,Noise Level 為 0.1,並觀察第三個通道的訊號,結果如下圖。。

兩個拆解出來的訊號聽起來,發現第一個 EEMD 拆解出來的聲音比較清楚,第二個 EEMD 的結果含有一些噪音干擾。

相關指令

RCADAInstant frequency , RCADA Spectrum , AnCAD EMD

參考資料

1.http://rcada.ncu.edu.tw/research1_clip_reference.htm

2. Norden E. Huang, Zheng Shen, Steven R. Long, Manli C. Wu, Hsing H. Shih, Quanan Zheng, Nai-Chyuan Yen, Chi Chao Tung and Henry H.Liu :"The Empirical Mode Decomposition and the Hilbert Spectrum for Nonlinear and Non-Stationary Time Series Analysis" , Proceedings of the Royal Society , Vol.454, No.1971, 1998

3. Huang, N. E., M. L. Wu, S. R. Long, S. S. Shen, W. D. Qu, P. Gloersen, and K. L. Fan (2003): "A confidence limit for the Empirical Mode Decomposition and Hilbert Spectral Analysis", Proc. Roy. Soc. London, 459A, 2317-2345.

4. ZhaoHua Wu and Norden E. Huang, 2009, " Ensemble Empirical Mode Decomposition : A Noise-Assisted Data Analysis Method " , Advances in Adaptive Data Analysis, Vol. 1, No. 1 (2009) 1–41

3.7.2 IMF Property

訊號經過各種 EMD 運算後,可分解成數個 IMF 和一個 剩餘訊號,IMF property 的功能是觀察各 IMF 的特性,目的是了解各種 EMD 是否適當的將訊號分離。

說明

EMD 分解出的 IMF 有零點和極值之數量差小於一的特性,為驗證 EMD 分解訊號的能力,可由此元件觀察各 IMF 的特性。此元件列出各 IMF 的過零點個數、極值個數、過零點個數的平均頻率、各 IMF 間的正交性、各 IMF 具有的功率比例。

參數設定(Properties)

參數名稱

參數定義

General properties

顯示個通道訊號的過零點次數(Zero Crossings)、局部最大(或最小)值的次數(Extreme Counts)、平均瞬時頻率、平均瞬時週期,與各通道能量比例 (Power)。其中平均瞬時頻率是以過零點次數與局部最大(或最小)值的次數來概略估計其訊號頻率,而各通道的能量為各個通道佔原訊號總能量(不算殘餘訊號 Residual)的百分比。

Orthogonality

輸入訊號之各通道彼此之間的正交性矩陣。

範例(Example)

範例以 IMF Property 元件觀察 RCADA EEMD 運算分解後之訊號特性,點選 EMD 運算元件,按右鍵選擇 Compute / HHT / IMF Property,如下圖所示。分析的各個 IMF 特性可在屬性中,點選 Report… 屬性,其右方會出現一按鈕,點選按鈕可顯示此元件的分析結果,顯示的結果如下。

左上角第一個欄位是選擇顯示方法,可為一般(General)、科學記號(Scientific)以及固定小數點位數(Fixed);第二欄是決定位數,對一般決定總位數,而對固定小數點位數與科學記號是只決定小數點位數。第三個按鈕是決定前兩者後,更新顯示結果。

相關指令

EMD、Viewer。

3.7.3 AnCAD EMD*

*Only in Professional*

EMD 全名為 Empirical Mode Decomposition,是個依照訊號特性將訊號分解成數個 IMF ( Intrinsic Mode Functions ) 和一個剩餘訊號 ( Residual ) 的數學工具。較傅立葉級數分解更為優異的是,EMD分出的 IMF ,其振幅和瞬時頻率可以隨時間變化,並包留了原訊號中非線性和非穩態的特性。

說明

EMD 可依據訊號特性將原訊號分解為多個子訊號。相較於其他數學方法,EMD是一個適應性的運算方法,無論訊號為何,這個方法皆可以把訊號初步分解成較具意義的分量,但是要分得好就需要一點經驗與技巧了。這個訊號處理方法假設每一個訊號內部都包含不同的簡單震動模態,此震動模態稱為 Intrinsic Mode Function (IMF),理想的 IMF 均包含下面幾個特性:

  1. 零點和極值的數量相差在一個以下。

  2. 任一處的上包絡線(由局部極大值定義)和下包絡線(由局部極小值定義)的平均值為零(即對稱)。

Sifting 是做 EMD 計算時,從訊號中提取 IMF 的過程,依據上述對IMF的描述, Sifting 的運算流程如下:

  1. 取得一段要處理的訊號 x( t ),找出其局部極大值所在點,並以 Cubic Spline 方法將所有局部極大值相連,可得此訊號的上包絡線。

  2. 同樣的找出此訊號的局部極小值並以 Cubic Spline 方法相連,可得訊號的下包絡線。

  3. 計算上包絡線和下包絡線的平均值,可得一平均線,令此平均線為 m( t )。

  4. 將原訊號和平均線相減,令相減後所得的訊號為 h( t ),則 h( t ) = x( t ) - m( t )。

上述由 x( t ) 減去上下包絡線的平均線 m( t ),求得 h( t ) 的過程即為 Sifting。

本模組提供兩種 Sifting 疊代終止準則:

  1. Cauchy 收斂測試,疊代過程中連續兩次 Sifting 後的訊號標準差(參數StandardDeviation)小於一給定的數值,則終止後續的 Sifting 動作

  2. 先選定一個篩選次數上限,將原訊號做 Sifting,直到新訊號過零點個數和極值個數之差小於 1 為止,但篩選次數不超過所選定的次數上限(參數Max. Sifting Iterations)。*注意此條件與論文中的不一樣,但是為避免篩選後的訊號無法收斂到終止條件,而做此設計。

1 與 2 兩種準則是同時比較,兩者只要滿足其一即達收斂標準,Sifting 動作就結束。Visual Signal 會將拆解出來的結果依高頻至低頻方式輸出 (Channel 1 頻率最高,Channel 2 次之,以此類推),殘餘訊號放在最後一條 Channel。

EMD 的運算如下:將一原始訊號做若干次 Sifting 後,訊號上、下包絡線的平均線會漸漸和水平軸重合,直至訊號的上、下包絡線對稱於水平軸。此新訊號即為第一個 IMF,故稱為 IMF1。將 IMF1 從原始訊號減去,得到第一個殘餘訊號( First Residual ),稱為 r1,將 r1 依同樣方式做若干次 Sifting,可獲得 IMF2,再將 IMF2 從 r1 扣除,得到第二個殘餘訊號 r2,依此規則重複計算,則可將原始訊號拆解成數個 IMF 和最後的殘餘訊號,此即為 EMD 的運算流程。

參數設定(properties)

本模組接受實數 (real number)、單通道 (Single channel),regular 的訊號 (signal) 或聲音訊號 (audio) 輸入,其參數意義與設定如下:

參數名稱

參數定義

預設值

Method

設定 EMD 運算時的方式,以下將介紹可設定的功能。

(1) Standard:以一般標準方式計算。

(2) IntermittencyTest:訊號中若有個極微幅的震動會產生一個局部極大值和及局部小值,利用此方法可適當忽略過於微小振動產生局部極值。

(3)EnsembleEMD:於輸入訊號上加一微小振幅的 white noise 後再作 EMD,此法無需預先設定參數,即可有效分離各尺度之 IMF。

IntermittencyTest

Normalized IMF

將所有 IMF 正規化。

False

StandardDeviation

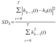
設定門檻值,即公式中的。利用 Sifting前後訊號的平方差小於門檻值時停止 Sifting。見說明疊代終止準則 1。

0.3

Max. Sifting Iterations

Sifting 的最高次數。見說明疊代終止準則 2。

10

MaxImfCount

決定每次 EMD 運算時,提取 IMF 的最大個數。

11

若是 Method 為 IntermittencyTest,必須有多一個參數 Intermittency 要設定,如下表。

參數名稱

參數定義

預設值

Intermittency

兩極值間的最大的點數間距。超過的此範圍的極值會被忽略。此數值在每一模態中會自動增加成前一模態的兩倍。

4

若是 Method 為 EnsembleEMD,必須有多兩個參數要設定,如下表。

參數名稱

參數定義

預設值

Number of Ensembles

運行 EEMD 時,添加 Noise 的次數,並且會計算出多少組的 IMF 結果再進行平均。例如預設為 20,將原訊號加入 20 次的 Noise ,並個別計算出 20 組 IMF 結果,並平均之。

20

Noise Level

即在運行 EEMD 時,添加的 Noise 之振盪,相對於原本訊號標準差之比值。

0.1

範例(Example)

示範一混合訊號作 EMD 分析:

  1. 於 Project 視窗選擇 Source / Sine Wave 產生訊號,並設定其參數,時間長度為 1.5 秒,頻率為 20;並再設定一 Custom Wave 為 Exp ( 1.8 * t ),一樣時間長度為 1.5 秒。以 Comput / Math / Mixer 混合兩者:

  1. 在Mixer後接上ComSute/HHT/EMD,再以Channel Viewer繪製計算結果,於Viewer的Properties/Channel/Multi-Channel Display選擇List,將每個IMF分開顯示,其圖示如下。

在此可發現原本的 Sin 函數與 Exponential 函數被徹底拆解,原本的 Sin 為 Channel 4,Exponential 函數則為殘餘訊號(因為Exponential 函數毫無週期性,無法再從中拆解出其他訊號)。其餘三筆訊號 ( Channel1 ~3 ) 是 EMD 在計算上過渡出來的結果,並無實質意義。

特別注意,EMD 具有自發性的依頻率拆解能力。若我們將不同頻率的 Sine Wave 混合,間隔 30Hz,由頻率 10Hz 至 130Hz,再以 EMD 處理後接上傅立葉轉換,可得下面結果:

在此可發現 EMD 把訊號依頻率分離,但並沒有分的十分清楚。

EMD 使用上多結合 Hilbert transform 與 Hilbert Spectrum,做為HHT 標準程序。

EMD 輸出結果接上 Channel Switch ,選擇有興趣的通道後再連結上 Hilbert transform 可求得該通道之瞬時頻率;亦可將 EMD 輸出直接接上 Hilbert Spectrum,觀查 EMD拆解後的 HHT 時頻圖。

相關指令

Hilbert transform、IMF Properties、Hilbert Spectrum。

參考資料

Norden E. Huang, Samuel S.P. Shen, "Hilbert-Huang transform and its applications," London : World Scientific, c2005