5.2 Noise

建立雜訊訊號源,可產生七種不同雜訊(Noise)。

說明

以下介紹各項雜訊的定義,令代表雜訊:

雜訊

數學表示式

說明

White noise

白雜訊的數學期望為 0,雜訊之平均值為零,表期望值;且自相關函數為 Kronecker Delta ()。

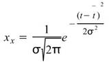
GaussianNoise

若雜訊在統計上呈現Normal Distribution高斯分佈,則此雜訊為Gaussian Noise。高斯分佈的期望值 決定了其位置,其標準差σ 決定了分佈的幅度。

SpeckleNoise

-

斑點型雜訊,振幅非最大值、則即為零,依照機率P 控制出現次數。

Pink Noise

此雜訊之傅立葉轉換之密度值反比於頻率;F 表示傅立葉轉換之密度值,f 表示頻率。

Brownian Noise

此雜訊之傅立葉轉換密度值反比於頻率平方;F 表示傅立葉轉換之密度值,f 表示頻率。

Blue Noise

此雜訊之傅立葉轉換密度值正比於頻率;F 表示傅立葉轉換之密度值,f 表示頻率。

Violet Noise

此雜訊之傅立葉轉換密度值正比於頻率平方;F 表示傅立葉轉換之密度值,f 表示頻率。

參數設定(Properties)

參數名稱

參數定義

預設值

TimeUnit

時間單位,可為皮秒(ps)、奈秒(ns)、微秒(us)、毫秒(ms)、秒(sec)、分(minute)、時(hour)、日(day)、月(month)、年(year)。

TimeLength

時間長度,時間單位為TimeUnit。

1

SamplingFreq

取樣頻率,單位時間內共要取幾個點。

1000

DataLength

產生信號的資料長度,即總共的取樣點數。為取樣頻率時間長度

1001

Amplitude

雜訊之振幅。

1

AmplitudeOffSet

雜訊振幅之平移量。

0

TimeStart

設定雜訊之時間起點。

0

其中 Gaussian Noise 與 Speckle Noise 還需多兩參數 :

參數名稱

參數定義

預設值

Sigma(Gaussian)

設定高斯函數之寬度。

1

Probability(Speckle)

設定 Speckle 雜訊發生之機率。

0.005

範例(Example)

雜訊檢測:

  1. 以 Source / Noise 建立七個不同種類的雜訊訊號源,全部以 Viewer / Channel Viewer 繪出。

  1. 接下來測試各雜訊的行為:將 Pink Noise 做 Compute / Transform / FFT 傅立葉轉換,取Conversion / Map ToReal,再將 ToReal 中的 Properties / MapMethod 設定為 PowerSpectrum,可發現此頻譜密度值大體上與頻率成反比 ( 也可不接 Map to Real 直接將 Viewer 中的 YValueType 設為 Powerspectrum )。

  1. 步驟2的作法同樣可應用於 Brown、Blue、Violet 等其他有色雜訊,如對 Blue Noise 可得下面之頻譜密度值,可見 Blue Noise 之頻譜密度值正比於頻率。

  1. 將 Noise Type 設定為 Gaussian Noise,且 Time Length 設為 100 秒,以 Viewer / Histogram Viewer 可以畫出 Gaussin Noise 的統計直方圖,其分佈曲線即為常態分怖。

相關指令

Channel Viewer,Fourier Transform,Map To Real。

相關資料

1. http://en.wikipedia.org/wiki/Colors_of_noise

2. http://en.wikipedia.org/wiki/Gaussian_noise