建立三角波。
說明
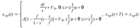
令
為一三角波,則
,
其中
是振幅,
是頻率,
是斜率為正的部份之比例斜率量(Symmetry),
是初始相角,
是振幅之平移量。
參數設定(Properties)
|
參數名稱 |
參數定義 |
預設值 |
|
TimeUnit |
時間單位,可為皮秒(psec)、奈秒(nsec)、微秒(usec)、毫秒(msec)、秒(sec)、分(minute)、時(hour)、日(day)、月(month)、年(year)。 |
秒 |
|
TimeLength |
時間長度,以時間單位為單位。 |
1 |
|
SamplingFreq |
取樣頻率,單位時間內共取幾個點數。 |
1000 |
|
DataLength |
產生信號的資料長度,即總共的取樣點數。為取樣頻率 |
1001 |
|
SignalFreq |
此訊號之實際頻率,單位為時間長度之倒數。 |
10 |
|
Amplitude |
訊號之振幅。 |
1 |
|
AmplitudeOffSet |
振幅之平移量。 |
0 |
|
Phase |
初始相角值,以角度為單位。 |
|
|
Symmetry |
修改波形的對稱性,訊號的一個週期內,訊號值大於零的部份之比例量為 |
0.5 |
|
TimeStari |
時間起點。 |
0 |
範例(Example)
建立三角波。
以 Source / Triangle Wave 建立三角波。
可將 AmplitudeOffSet 設為 0.3,再設定 TimeStart 為 0.3,SignalFreq 設為 4,Symmetry 設為 0.7,可得下列圖形:
相關指令
Square Wave,Sine Wave,Channel Viewer。