5.7 Impulse*

*Only in Professional*

建立脈衝訊號。

說明

令 t 為代表時間,長度為 N 的數列,,一個完美的脈衝訊號 X 可表示為

其中 T 為衝擊所產生的時間點, A 是振幅,是振幅之平移量。在此模組下提供三種近似的脈衝訊號,包括Gaussian、Square 及 Decay。

脈衝型態

定義

說明

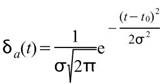
Gaussian

此種訊號在時間域上呈現Normal Distribution,決定脈衝發生位置,決定脈衝尖銳程度,越小,脈衝越尖銳,也越接近完美脈衝。

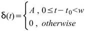
Square

此種脈衝近似於一個寬度極小的方波,決定脈衝發生位置, W 代表方形脈衝的寬度, W 越小,越接近完美脈衝。

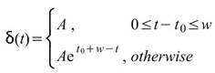
Decay

此種脈衝近似於一個寬度極小方波,然後以 Exponential Decay,決定脈衝發生位置, W 代表方形脈衝的寬度, W 越小,越接近完美脈衝,。

參數設定(Properties)

參數名稱

參數定義

預設值

ImpulseShape

脈衝形態,可為Gaussian、Square、Decay。

Gaussian

Start

脈衝起始時間。

0

SingleImpulse

是否只產生單一脈衝。

False

Interval

脈衝與脈衝之間的間距。

0.2

PositiveImpulse

設定是否為正的脈衝。

True

其中,ImpulseShape = Gaussian,多了一個參數:

參數名稱

參數定義

預設值

Sigma

設定 Normal Distribution 的寬度,sigma 越小,圖形越尖銳。

0.005

其中,ImpulseShape = Square,多了一個參數:

參數名稱

參數定義

預設值

Width

設定方形脈衝的寬度,若設定為 0,實際寬度設定為輸入訊號兩點的時距。

0

其中,ImpulseShape = Decay,多了一個參數:

參數名稱

參數定義

預設值

Width

設定方形脈衝的寬度,若設定為 0,實際寬度設定為輸入訊號兩點的間距。

0

Decay

設定振幅衰減的時間,當設定值越小代表衰減時間越快。

0.005

參數名稱

參數定義

預設值

TimeUnit

時間單位,可為皮秒(ps)、奈秒(ns)、微秒(us)、毫秒(me)、秒(sec)、分(minute)、時(hour)、日(day)、月(month)、年(year)。

sec

TimeLength

時間長度,時間單位為TimeUnit。

1

SamplingFreq

取樣頻率,單位時間內取的點數。

1000

DataLength

產生信號的資料長度,即總共的取樣點數。為取樣頻率 * 時間長度 + 1。

1001

Amplitude

訊號之振幅。

1

AmplitudeOffSet

振幅之平移量。

0

TimeStart

時間起點。

0

範例(Example)

脈衝訊號之建立,脈衝訊號的時頻分析:

  1. 以 Source / Advanced / Impulse 建立脈衝訊號,並以 Viewer / Channel Viewer 繪出圖形。

  1. 再將Impulse 接至 Compute / TFA / Short Term Fourier Transform運算,最後以 Viewer / Time-Frequency Viewer 顯示結果。

  1. 設定 Impulse 的參數,Sigma =0.0001,將 Sigma 調整越小,在 Channer Viewer 中圖形越接近完美脈衝,在TFA Viewer 能清楚看到頻寬較大的現象。

相關指令

Channel Viewer,Time-Frequency Viewer,Short Term Fourier Transform。