*Only in Professional*
建立Jaehne signal。
說明
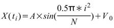
令 t 為代表時間,長度為 N 的數列,
,Jaehne 訊號可表示為
其中 A 是振幅,
是振幅之平移量。
參數設定(Properties)
|
參數名稱 |
參數定義 |
預設值 |
|
TimeUnit |
時間單位,可為皮秒(ps)、奈秒(ns)、微秒(us)、毫秒(ms)、秒(sec)、分(minute)、時(hour)、日(day)、月(month)、年(year)。 |
sec |
|
TimeLength |
時間長度,時間單位為TimeUnit。 |
1 |
|
SamplingFreq |
取樣頻率,單位時間內取的點數。 |
1000 |
|
DataLength |
產生信號的資料長度,即總共的取樣點數。為取樣頻率 * 時間長度 + 1。 |
1001 |
|
Amplitude |
訊號之振幅。 |
1 |
|
AmplitudeOffSet |
振幅之平移量。 |
0 |
|
TimeStart |
時間起點。 |
0 |
範例(Example)
Jaehne 訊號之建立,並將 Jaehne 訊號進行時頻分析:
以 Source / Advanced/ Jaehne 建立訊號,並以 Viewer / Channel Viewer 繪出圖形。
再將 Jaehne 接至 Compute / TFA / Short Term Fourier Transform 運算,最後以 Viewer / Time-Frequency Viewer 顯示結果,Jaehne 訊號類似 Chirp 訊號,隨著時間增加,訊號頻率增加。
相關指令
Channel Viewer,Time-Frequency Viewer,Short Term Fourier Transform。